Thermoplasmonics
Thermoplasmonics team
Its activity is mainly focused on the study of radiative heat transfer in the near field. This corresponds on one hand to the investigation of the fundamental mechanisms governing heat exchange, and on the other hand to the design and optimization of materials for energy conversion (thermophotovoltaic conversion), information processing (nanophotolitography), nanoscale thermal management, infrared detection and IR spectroscopy.
Members
The Thermoplasmonics team is made of two permanent researchers
Philippe Ben-Abdallah (CNRS Research Director)
Riccardo Messina (CNRS Research Fellow)
as well as a postdoc (Florian Herz).
Introduction
When two bodies at two different temperatures are placed at an arbitrary distance from each other, they exchange heat via the electromagnetic field they radiate toward their environment. When the separation distance is large compared to the thermal wavelength (around ten microns at ambient temperature), Planck's law (blackbody theory) gives an upper limit to this exchange. This limit is described by the well-known Stefan-Boltzmann law and corresponds to the heat flux exchanged between two blackbodies in interaction. The pioneering work of Polder and van Hove in the 70's showed that this limit can be overcome when the distance is small compared to the thermal wavelength (Fig. 1). At such distances (i.e. near field), the radiative flux can overcome by several orders of magnitude the one between two blackbodies. This amplification of heat transfer, resulting from the tunneling of thermal non-radiative photons, is particularly strong when the bodies support surface modes at a given wavelength (such as phonon-polaritons for dielectrics and plasmons for metals) or a continuum of hyperbolic modes.
Fig. 1. Two hot bodies kept at temperatures T1 and T2 and separated by a distance d exchange heat via propatagive and non-propagative photons.
Research activity
Near-field TPV conversion
The idea of near-field TPV conversion has been suggested recently to convert the energy transported by this localized electromagnetic field into electricity by means of a photovoltaic cell. Theoretically speaking, the electric power possibly generated by a near-field TPV cell with a section of 250 cm2 could reach (by assuming a 100% quantum efficiency for the photovoltaic cell) 25 kW, i.e. a power comparable to the one needed for the average household in the USA. Unfortunately, the spectral mismatch between the surface mode supported by the hot body and the gap characterizing the semiconductor material strongly limits the efficiency of such kind of cells.
Recently, the theory of N-body radiative heat transfer has been used to design a new type of hybrid graphene-based PV cell (Fig. 2). This allows to partially solve the problem of spectral mismatch.
Fig. 2. (Left) Scheme of the graphene-based near-field TPV cell. A hot hBN source (temperature Ts) is placed in front of a PV InSb cell covered with graphene at temperature Tc. (Right) Efficiency and generated electric power with and without graphene. From Sci. Rep. 3 1383 (2013).
We have also shown in 2013 that graphene [Phys. Rev. B 87, 085421, (2013)] allows to actively modify in a very fast way (picosecond timescale) the optical behavior in near field of some polar materials, thanks to a strong-coupling mechanism between the (tunable) graphene plasmon and the phonon-polariton supported by the material. This paves the way to the dynamic control of spontaneous emission of nano-objects placed in proximity of a surface, as well as to an active thermal management at the nanoscale.
Thermal relaxation in the near field
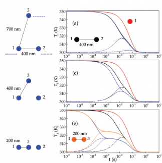
In 2013, the dynamics of the thermal relaxation of a system made of N bodies has been studied [Phys. Rev. B 88, 104307 (2013)]. We have shown (Fig. 3) that this dynamics strongly depends on the relative position of the bodies. Moreover, thermal relaxation typically takes places in two steps. First, the particles thermalize between each other via near-field interaction, then they relax to the temperature of the environment via far-field heat flux.

Fig. 3. Time evolution of the temperature of three SiC nanoparticles out of thermal equilibrium as a function of their positions [from Phys. Rev. B 88, 104307 (2013)]. In red, relaxation dynamics of one single particle and of a couple of particles.
Thermotronics: toward the development of circuits for heat-flux control
The diode and the transistor are key elements in electronics and in information technology, and they have deeply changed our everyday life. Thanks to the control capabilities of currents they allow (modulation, commutation, amplification), the transistor represents the elementary block to conceive logic ports, memories, etc...
An important part of our activity during the last years has been dedicated to the development of the thermal analogue of these elementary bricks, with the aim of controlling radiative heat flux (in far and near field) between bodies in a similar way as electron flux is controlled in electric circuits.
Fig. 4. (a)- Electric (i) and thermal (ii) diode. Similarly to the electric diode which allows electric current to flow only in one direction (forward bias), and blocks it in the opposite one (reverse bias), the thermal diode allows heat flux only in one direction (forward scenario), while it strongly reduces the heat transfer in the opposite direction, when the temperature gradient is inverted.
In 2014, after having developed a thermal diode base on phase-change materials (this theoretical prediction has been experimentally in 2018 [cfr. Fig. 4(a) and ACS Nano 12, 5774 (2018)], we have introduced the thermal analogue of a transistor [Phys. Rev. Lett. 112, 044301 (2014)].

Fig. 5. Scheme of a radiative thermal transistor. (Left) Classical Field effect transistor: it is composed of three main elements, namely source, gate and drain. The gate is used to actively control the electron flux exchanged between source and drain, by applying a potential difference on the gate in order to modify the effective electrical conductivity between source and drain. (Right) Radiative thermal transistor: it is composed of a slab made of a phase-transistion material (between a metallic and dielectric state), placed between two reservoirs at temperatures TS
and TD
with TS>TD
. By changing the temperature TG
of the gate, it is possible to change its optical properties and, as a consequence, the flux ΦD
received by the drain and the one ΦS
lost by the source. When the temperature of the gate is slightly below the critical (transition) temperature Tc, a small increase of the temperature induces a strong variation of the fluxes ΦD
and ΦS
. The transistor then works in mode « on-off ». Near the transition, a decrease of the temperature generates a strong increase of the flux received by the drain. This behavior is associated with the negative differential resistance of the gate around Tc and induces an amplification of the flux received by the drain (the« transistor effet ») [from P. Ben-Abdallah and S.-A. Biehs, Phys. Rev. Lett. 112, 044301 (2014)].
The working principle of this transistor (Fig. 5) consists, in analogy with the field effect transistor, in controlling the flux exchanged between the hot body (the source) and the cold one (the drain) by means of an intermediate slab (acting as a gate), whose optical properties can be tailored by an external action.
In 2014 we have shown the existence of several configurations of thermal equilibrium in systems involving N bodies. The bistable behavior of these systems has allowed us to conceive a thermal memory (Fig. 6(a)), capable of stocking heat during an arbitrary long amount of time and of releasing it under an external action [Phys. Rev. Lett. 113, 074301 (2014) and PRL Focus]. These results pave the way to a new technology called ‘thermotronics’ for contact-less thermal management at macro- and nano-scale [AIP Advances 5, 053502 (2015)].

Fig. 6. (a) Working principle pf a radiative thermal memory. Two membranes exchanging heat radiatively and in interaction with two thermal baths (field radiated by two external blackbodies) can have several equilibrium temperatures when at least one is made of vanadium dioxide, a phase-transition metal-insulator material. By changing the phase of this material by means of a network of electrodes and Peltier elements, it is possible to commute from one equilibrium state (state "0") to another one (state "1"). These two states represent a thermal bit. As long as the external bath is present, the thermal memory is stable.
Finally, we have conceived in 2016 the very first logic ports [Phys. Rev. B 94, 241401(R) (2016)] for a radiative treatment of information. We have shown that, by combining in series or in parallel several phase-changing materials, NOT, OR and AND ports can be realized (Fig. 7(b)).
Fig. 7-b AND port realized by a double-gate (G1, G2) thermal transistor, made of SiO2 and with a thickness of 250 nm . The semi-infinite source (S) is made of SiO2, whereas the drain (D) is made of a phase-changing material (VO2) and is 500-nm thick. The separation distance between the elements is d = 100 nm and the gates are supposed to be isolated from each other. The plot (left) represents the drain temperature TD as a function of the gate temperatures TG1 ad TG2. The working range of the logic port is defined by the dashed rectangular domain centerdd at (TG1, TG2) = (Tl, Tl), with Tl = 332.2 K. On the right, the truth table of the AND port.
Heat transfer in N-body systems
Since the 70's and up to the beginning of 2000 only two-body heat transfer has been studied. The non-additive character of radiative heat trnasfer suggests that different physical phenomena could take place in the presence of more bodies. In 2011, we have extended the theory of near-field heat transfer to N bodies in interaction [Phys. Rev. Lett. 107, 114301 (2011)]. In these systems, the local thermal fluctuations generate oscillations of charges in each body, which in turn radiate toward their environment. The fields produced in this way interact with the other bodies, which then produce a secondary field, and so on (Fig. 8). This kind of problem belongs to the class of N-body problems which are found in several domains of physics (condensed-matter physics, atomic physics, quantum chemistry, celestial mechanics, ...).
Fig. 8. Near-field exchange coefficient between two SiC particles at temperatures T1=300K and T2= 0K in the presence of a third SiC at zero temperature. The exchange coefficient is normalized by the one between two isolated particles. From Phys. Rev. Lett. 107, 114301 (2011).
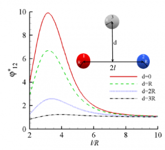
We have also highlighted a three-body amplification effect (Fig. 9). This effect is connected to the presence of a third intermediate material placed between two interacting bodies. The intermediate slab has the effect of compensating, by means of a three-body interaction mechanism, and in a completely passive way (without any external energy supply), the exponetial suppression of the flux exchanged in the near field between the two external bodies. This allows to export near-field effects to longer distances.

Fig.9 : Three-body amplification of heat transfer. On the right, amplification factor [from R. Messina, M. Antezza, and P. Ben-Abdallah, Phys. Rev. Lett. 109, 244302 (2012)].
Thermo-magnetoplasmonics
A new research field has been recently introduced. It concerns the heat transfer in complex plasmonic structures on which an external magnetic field is applied. A new thermal Hall effect has been highlighted [Phys. Rev. Lett. 116, 084301 (2016)]. The Hall effect discovered by Edwin Hall at the end of the 19th century consists in an electric current appearing in the transverse direction in a conductor under the action of a magnetic field applied in a direction orthogonal to the tension gradient. This effect is due to the Lorentz force acting transversally on the electric charges moving in the presence of the magnetic field, which modifies their trajectories. Slightly after this discovery, a thermal analogue of this effect was observed by Righi and Leduc when a temperature gradient is applied along a conductor. As for the classical Hall effect, it is the presence of electric charges interacting with a magnetic field which is at the origin of a transverse heat flux. One could then anticipate that no thermal Hall effect could take place in the absence of free charges.

Fig. 10. (a) On the left, system made of 4 magneto-optical particles (InSb), placed at the corners of a square and subject to a magnetic field B perpendicular to the square. On the right, Hall temperature normalized by the temperature difference between particles 1 and 2. The magnetic field breaks the symmetry and generates a heat flux perpendicular to the primary flux between particles 1 and 2 [from Phys. Rev. Lett. 116, 084301 (2016)].
Nevertheless, during the last decade, several research teams have shown the existence of such effect in insulators and highlighted that the appearance of a transverse heat flux could be due to an unconventional behavior or phonons and magnons (spin waves). We have recently predicted [Phys. Rev. Lett. 116, 084301 (2016)] that photons can also be at the origin of a thermal Hall effect in networks of magneto-optical particles (Fig. 10(a)). This result paves the way to new perspectives in the domain of thermal management, thanks to the active control of collective interaction mechanisms in magneto-plasmonic structures.
Fig. 11 (b) Thermal magnetoresistance at T = 300 K in a binary chain of InSb-Ag nanoparticles as a function of the intensity B of the magnetic field, applied perpendicularly to the axis of the chain. The particles have radius r = 100 nm, while the border-border distance between two adjacent particles is d = 2r.
We have recently discussed [Phys. Rev. Lett. 118, 173902 (2017)] a new thermomagnetic effect in a network of magneo-optical nanoparticles: a giant magnetic thermal resistance (Fig. 11). This resistance results from a strong spectral shift in localized surface modes supported by the particles under the action of a low-intensity magnetic field. This effect, which exists even at ambient temperature, could be exploited to actively control heat transfer in the near field and to detect the presence of a magnetic field from simple temperature measurements.
Anomalous heat-transport regimes in N-body systems
A – Heat superdiffusion in networks of plasmonic nanostructures
It is admitted since the work of Joseph Fourier in the 19th century that heat propagates in solids by following a so-called "normal" diffusion process. From the microscopic point of view, the heat carriers (phonons or electrons) move along the atomic lattice by following a Gaussian random walk. The propagation speed of heat inside the solid is then defined by the speed of the carriers and by the distance they can travel between two collisions. In our work (cf. Fig. 12(a)), we have shown [Phys. Rev. Lett. 111, 174301, (2013)] that when we insert a network of plasmonic nanoparticles (i.e. nanoparticles supporting a localized electromagnetic mode), heat can propagate faster than in an ordinary solid. This "superdiffusive" transport mechanism is associated with near-field interaction between the nanoparticles (collective effects) inside the network, which then behaves as a super-channel for heat transport. This results paves the way to several opportunities in material sceince, in particular for the design of innovative materials for high-frequency heat management.
Fig. 12. (a) Superdiffusion of heat in a network of plasmonic structures. On the left, diffusion of a colorant in water. The particles follow a random walk corresponding to a Gaussian diffusion process (b) On the right, heat propagation via near-field interaction in a network of plasmonic nanoparticles. Heat propagates along the network following a Lévy process.
B – Ballistic transport of heat in dense N-body systems
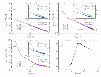
As we have just seen, in dilute media the near-field heat-transport regime in N-body systems is superdiffusive. In 2017, we have shown, by means of a generalized Landauer theory we have recently developed [Phys. Rev. B 95, 205404 (2017)], that in dense systems the transport regime becomes ballistic. This radically modifies the relaxation dynamics in N-body systems by reducing of several orders of magnitude the relaxation time (Fig. 13).
Fig. 13. Transfer coefficient between two SiC slabs as a function of their separation distance in a network of 60 slabs separated by (a) d = 500 nm, (b) d = 40nm and (c) d = 5 nm. The dashed curves show the asymptotic behavior 1/zg of h. The value of g gives information on the nature of the transport regime from superdiffusive (1 < g < 3) to ballistic (g > 1). The insets represent the contribution of the two polarizations TE and TM to the exchange coefficient. (d) Exponent g as a function of the separation distance d between the slabs.
Radiative shuttling
In 2018 we have studied the near-field heat exchange between two bodies when their temperature or chemical potential is modulated in time at a timescale large compared to the typical relaxation time of the bodies. We have identified the presence of a new mechanism [Phys. Rev. Lett. 121, 023903 (2018)] called "radiative shuttling", which is superposed to the average heat flux and which can amplify or inhibit it accoring to the sign of the differential thermal resistance (Fig. 14) between the two bodies. This effect could play a relevant role in the development of electro-mechanical systems at the nanoscal, where fluctuations of temperature can be important (these fluctuations increase when reducing the size of the bodies) and more generally in the domain of thermal management.
Fig. 14 Average heat flux exchanged between a VO2 slab (L) and a glass slab (R) when the temperature is sinusoidally modulated (i.e. TL(t)=T0+dT sin(Wt)) with an amplitude of dT=30 K, while TR is fixed at T0 (the modulation frequency is supposed to be small compared to the inverse of the relaxation time).
Near-field heat engines
A heat engine is a system converting part of the heat flux produced by a hot source in mechanical work, via a converter. The latter transfers part of its heat to a cold source. For contactless systems with distances in the far-field range, the maximum power which can be transferred to the converter is limited by Stefan-Boltzmann law (blackbody limit). At shorter separation distances, the participation of the evanescent electromagnetic field allows to go beyond this limit. So far, near-field thermophotovoltaic energy conversion is the only mechanism which has been proposed to extract near-field thermal energy. In 2015, a new energy-conversion system in the near field has been proposed. The idea, described in Fig. 15, is the following. As oscillating membrane is placed between a hot and a cold body (acting as two reservoirs) at a sub-wavelength distance from each other. The heat flux transferred between the two reservoirs via the membrane is modulated (by means of a phase transistion or by using a graphene sheet which is dynamically doped), so that the flux received by the membrane oscillates. This oscillation generates a thermal expansion of the membrane and an hysteresis of its displacement field.
Fig. 15. (Left) Working principle of a contactless heat engine. A primary source at temperature TH radiates toward a system converting part of the incident flux in mechanical work. The residual energy is transferred to a cold source at temperature TC < TH. (Right) The near-field coupling between a hot body and a bistable membrane can generate an oscillation (displacement hysteresis) of the membrane, by modulating the temperature of the hot body.
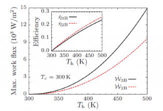
Before addressing the problem of the coupling between the mechanical oscillator and the two reservoirs, we have studied [Phys. Rev. Applied 4, 011001 (2015)] the thermodynamic performance (Fig. 16) of this nano-engine.
Fig. 16. Maximum power which can be extracted from a three-body (3B) conversion system in near field, compared to the one which can be extracted from a 2-body (2B) system. The inset shows the conversion efficiencies [from Phys. Rev. Applied 4, 011001 (2015)].
Selected publications
[1] A. Ott, R. Messina, P. Ben-Abdallah, and S.-A. Biehs, Magnetothermoplasmonics: from theory to applications, J. Photon. Energy 9, 032711 (2019).
[2] I. Latella, R. Messina, J. M. Rubi, and P. Ben-Abdallah, Radiative heat shuttling, Phys. Rev. Lett. 121, 023903 (2018).
[3] A. Fiorino, D. Thompson, L. Zhu, R. Mittapally, S.-A. Biehs, O. Bezencenet, N. El-Bondry, S. Bansropun, P. Ben-Abdallah, E. Meyhofer, P. Reddy, A thermal diode based on nanoscale thermal radiation, ACS Nano 12, 5774 (2018).
[4] R. Messina, S.-A. Biehs, and P. Ben-Abdallah, Surface-mode-assisted amplification of radiative heat transfer between nanoparticles, Physical Review B 97, 165437 (2018).
[5] P. Ben-Abdallah, Photon thermal Hall effect, Phys. Rev. Lett. 116, 084301 (2016).
[6] P. Ben-Abdallah and S.-A. Biehs, Near-field thermal transistor, Phys. Rev. Lett. 112, 044301 (2014).
[7] R Messina and P. Ben-Abdallah, Graphene-based photovoltaic cells for near-field thermal energy conversion, Sci. Rep. 3, 1383 (2013).
[8] S.-A. Biehs, M. Tschikin, R. Messina, and P. Ben-Abdallah, Super-Planckian near-field thermal emission with phonon-polaritonic hyperbolic metamaterials, Appl. Phys. Lett. 102, 131106 (2013).
[9] R. Messina, M. Tschikin, S.-A. Biehs, P Ben-Abdallah, Fluctuation-electrodynamic theory and dynamics of heat transfer in systems of multiple dipoles, Phys. Rev. B 88, 104307 (2013).
[10] R. Messina, M. Antezza, and P. Ben-Abdallah, Three-body amplification of photon heat tunneling, Phys. Rev. Lett. 109, 244302 (2012).