Skip to main content Aller au menu Aller à la recherche

Seminar for PhD students: Aurelian Loirette--Pelous

  • Séminaire des Doctorants
  • Evénement scientifique
graphique divergence Weitz

Seminar for PhD students given by Aurelian Loirette--Pelous from the Nanophotonics group, on December 16, 2021 at 1:15 pm in the auditorium of the Institut d'Optique in Palaiseau, on the topic: "Bose-Einstein condensation of photons in a cavity interacting with a semi-conductor".

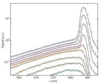
Abstract: "In my seminar, I will discuss theoretically the phenomenon of Bose-Einstein condensation (BEC) of photons in a pumped-semiconductor cavity. While this type of device is usually thought as a LASER, I will show under which conditions the peculiar BEC regime can be reach. The second part of this seminar will be devoted to the study of several properties of this type of device, such as its spectrum or second order coherence, aiming at clarifying the differences between the BEC and the conventionnal LASER regime."

Site réalisé par Intuitiv Intecartive